-
初阶 Beginner
-
中阶 Lower Intermediate
-
中高阶 Intermediate
-
模考 Practice Tests
- L1
- L2
- L3
- L4
- L5
- L6
- L7
- L8
- L9
- L10
- L11
- L12
- L13
- L14
- L15
- L16

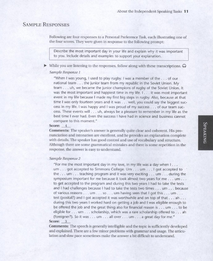
IELTS Speaking-Basic
雅思口语特训-基础训练
教材特色
您目前拥有较好的英语基础,能用英语进行简单的会话和描述,但使用的句型有限,口语流利度还有待加强。如果您正在为打好雅思口语的基础而发愁,Spiiker建议您学习《雅思口语基础培训》的教程,通过3个月Native Tutor的针对性训练,习得丰富的表达方式,让雅思口语更上一层楼!
面向人群
计划出国,准备考雅思但口语基础偏薄弱,需要加强口语特训的学生、白领。
Goals
能用英语进行简单会话或日常生活描述。
Components
谈论有关教育、食物、运动、媒体、广告、环境、交通、科技、金融、人口、旅游等多方面的话题,拓展思维,锻炼雅思口语表达能力。
Grammar
主要掌握一般现在时、过去时、完成时、关系从句等语法知识,特别注意一些固定词语搭配、动词过去分词变化及读音,熟记建议用语和个人观点表述用语。
Suggestions
适合口语表达能力有限,希望告别交流障碍,顺利通过雅思口试的学习者。

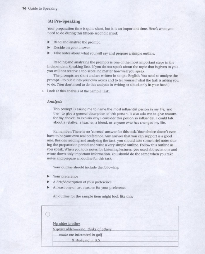
Action Plan for IELTS Speaking
剑桥雅思12周完全攻略口语
教材特色
《剑桥雅思12周完全攻略口语》结合雅思考试趋势编写而成,主要针对距离考试还有2~3个月的考生,以“周”为单位,为雅思考生制定出一套详细的3个月备考时间表。书中将雅思口语话题分为12个大类,每个大类下包括2-3个部分话题和2个第二、三部分话题。每周包含7个Task,内容全面,既有语音语调速练,又有真题讲解和高分词汇,并以总结模考的形式每周进行实战演练。
面向人群
准备参加雅思考试的考生以及想提高英语水平的读者。
Goals
能较为流利地和考官进行话题的讨论,并且用词用句比较丰富,表达自然得体。
Components
书中内容贴近雅思考试趋势,涵盖雅思口语考试高频题目和高分词汇,又涉及语音、语调精练,同时配以习题供考生模拟练习。
Grammar
覆盖了多个语法知识点,包括各种基本时态、复合名词、动词词组、介词短语、虚拟语气、从句、条件句、主谓一致、连接词用法等,特别注意动词的形态变化,掌握表原因、结果、建议、观点等词汇词组。
Suggestions
适合具备一定的雅思口语基础,但为了雅思口试亟待提高雅思口语水平的学习者。

IELTS Speaking
雅思口语胜经(新东方)
教材特色
您在熟悉的话题领域中能较好地运用英语进行表达,但在理解和表达方面仍存在着一定的不足,尚未能够熟练灵活地使用复杂句型。因此Spiiker推荐您学习《雅思口语胜经》的课程,为期3个月的实战训练会帮助您跨越口语中的交流障碍,在积累丰富词汇和语句的同时,深入话题的讨论,轻松应对雅思口试。
面向人群
即将参加雅思口试,希望雅思口语能有突破性收获的学生或白领。
Goals
能较为流利地和考官进行话题的讨论,并且用词用句比较丰富,表达自然得体。
Components
涉及有关家庭、学习、住宿、运动、音乐、天气、食物、节日、交通、影视、文化和社会问题等诸多方面的话题讨论,提供了具有实战性的模拟口试和可供参考的口试实例。
Grammar
覆盖了多个语法知识点,包括各种基本时态、复合名词、动词词组、介词短语、虚拟语气、从句、条件句、主谓一致、连接词用法等,特别注意动词的形态变化,掌握表原因、结果、建议、观点等词汇词组。
Suggestions
适合具备一定的雅思口语基础,但为了雅思口试亟待提高雅思口语水平的学习者。

IELTS Speaking-Advanced
雅思口语特训-高级
教材特色
您目前能较好地运用英语展开话题的讨论,能混合使用简单句式和复合句式进行表达,但仍缺乏灵活性,对复杂句型的运用还不够准确清晰。因此Spiiker为您设计了《雅思口语特训》的教程,经过3个月的模拟练习和实战演练,学会灵活地变换措辞,连贯而得体地围绕话题展开发言,雅思口试不再是难题!
面向人群
准备考雅思,基础较好但底气不足,希望口试稳拿过关分的学生、白领。
Goals
能自然流畅地用英语表达观点和感受,不受词汇和话题的限制。
Components
讨论有关学习、工作、家乡、节日、旅游、体育、爱好、饮食、科技、大众传媒、文化、自然、公众活动、社会问题等丰富多彩的话题,使表达自然,思路开阔。
Grammar
语法知识面广,复习常用的各种基本时态、被动语态、各种从句和复合句等,熟记特殊搭配和介词用法,掌握表达个人观点、建议和表明原因结果的词汇词组,学会有效地运用。
Suggestions
适合表达和理解能力较好,但需要扩展知识面,以便充分展开话题交流的学习者。

IELTS Speaking (5-6.5)
雅思考试口语金牌教程(5-6.5分)
教材特色
您的语言基础较为扎实,可以较好地理解复杂的语句并且灵活加以运用,但在用词的准确性和语句的连贯性上需进一步加强,使表达更加清晰自然。Spiiker为您准备的《雅思考试口语金牌教程(5分-6.5分)》(3-6个月的学习时间)会帮助您更好地驾驭英语,灵活地使用多样的词汇和语句来准确表达思想,发散思维,凭借流利连贯的口语从容通过雅思口试!
面向人群
有出国计划,希望强化英语实际运用能力,考取雅思理想分数的学生、白领。
Goals
提高话题讨论技巧,能用英语自如谈论各种话题,充分表达个人观点,语言准确流畅。
Components
畅谈有关工作、家乡、天气、未来计划、语言、商业、旅行、食物、家庭、环境、交通、节日等话题,模拟训练沟通技巧。
Grammar
复习各种时态、词的变化、被动语态、动名词、不定式、关系从句、情态动词、连词用法等多个语法知识点,并学会构建长篇叙述或讨论、学会如何表达论点或中心意思、并能进行对比、衔接、举例等。
Suggestions
适合语言功底较好,但表达欠缺准确,力求完善雅思口语表达技巧的学习者。

IELTS Speaking (6-7.5)
雅思考试口语金牌教程(6-7.5分)
教材特色
您具备较好的语言实际运用能力,可以比较自如地运用英语,使用不同的词汇和句型讨论多种话题,偶尔也能使用不常见的单词和短语,但对个别不熟悉的话题未能充分展开交流。因此Spiiker建议您学习《雅思考试口语金牌教程(6-7.5分)》,在3-6个月的训练时间内分学会巧妙地变换表达方式,进一步拓展思维、开阔思路,得心应手稳拿口试高分!
面向人群
雅思口语基础扎实,想要挑战雅思口试高分的学员。
Goals
面对任何话题都能灵活、准确地进行表达,全面而得体地围绕话题展开发言。
Components
谈论有关家庭、家乡、工作、学习、广告、艺术、交通、动物、书籍、食物、教育、环境、节日、网络、媒体、天气、旅游、社交等多方面的话题,提供参考性较强的应答技巧和实战练习。
Grammar
复习各种基本时态、关系从句和比较级、最高级,掌握连接词、频度副词、程度副词、同反义词的准确用法,熟记表可能性、个人观点的词汇词组,同时积累地道的俗语、习语。
Suggestions
内容较有难度,练习话题丰富,适合理解和表达能力出色,追求雅思口语实力超群的学习者。
雅思英语在线学习










































